再谈Promise
约 2 分钟阅读
面试
JavaScript
之前我写了一篇介绍Promise的文章:面试题常客之-Promise,但是没有实际的例子。
因为平时我做的项目都比较小,所以处理异步函数一般都使用async await,很少用到Promise.then,但是这一天就碰到了这么一个问题。
1. 问题
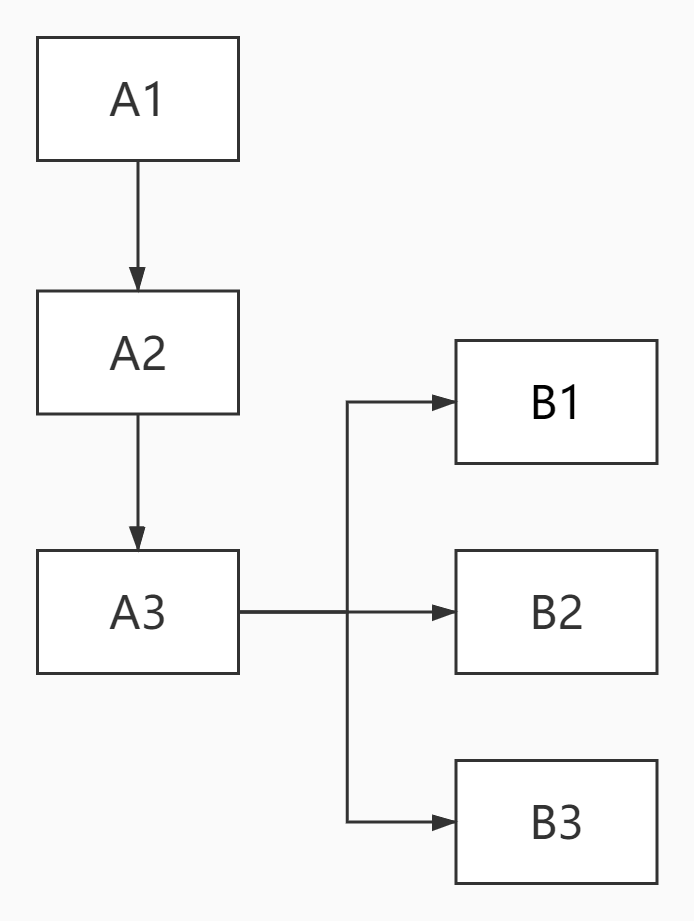
有6个异步请求,分别是A1,A2,A3,B1,B2,B3。而A1,A2,A3的执行顺序是A1→A2→A3,并且A2要获得A1取得的数据,而B1,B2,B3在A1,A2,A3按照顺序执行完成后同时执行,并且只能通过Promise实现。

当时听题的时候被问的一愣一愣的,但是现在回想起来,使用async await可能是最简单的方法,但是题目中明确的说明了只能使用Promise进行实现,那么这道题目应该怎么解呢。
首先我们用setTimeout来模拟出上面的这些数据:
let a1 = () => { return new Promise((resolve, reject) => { setTimeout(() => { let time = 1; console.log("a1经过1s获得了数据"); resolve(time); }, 1000); });};
let a2 = (time) => { return new Promise((resolve, reject) => { setTimeout(() => { let newTime = time + 1; console.log("a2经过" + newTime + "s获得了数据"); resolve(newTime); }, 3000); });};
let a3 = (time) => { return new Promise((resolve, reject) => { setTimeout(() => { let newTime = time + 1; console.log("a3经过" + newTime + "s获得了数据"); resolve(newTime); }, 4000); });};
let b1 = () => { return new Promise((resolve, reject) => { setTimeout(() => { console.log("b1经过1s获得了数据"); }, 1000); });};
let b2 = () => { return new Promise((resolve, reject) => { setTimeout(() => { console.log("b2经过1s获得了数据"); }, 1000); });};
let b3 = () => { return new Promise((resolve, reject) => { setTimeout(() => { console.log("b3经过1s获得了数据"); }, 1000); });};2. Promise实现
嵌套实现:
a1().then(res => { a2(res).then(res => { a3(res).then(res=>{ b1(); b2(); b3(); }); });});.then链式调用实现:
a1().then(res => { return res;}).then(res => { return a2(res);}).then(res => { return a3(res);}).then(res => { b1(); b2(); b3();});3. async await实现
没有对比就没有伤害,async await做为ES7的终极大招,来实现这个问题。
看看和Promise的区别。
(async () => { let time = await a1(); time = await a2(time); await a3(time); b1(); b2(); b3();})();这…只能说async await牛逼。
☕ 请我喝杯咖啡
如果这篇文章对你有帮助,欢迎打赏支持!